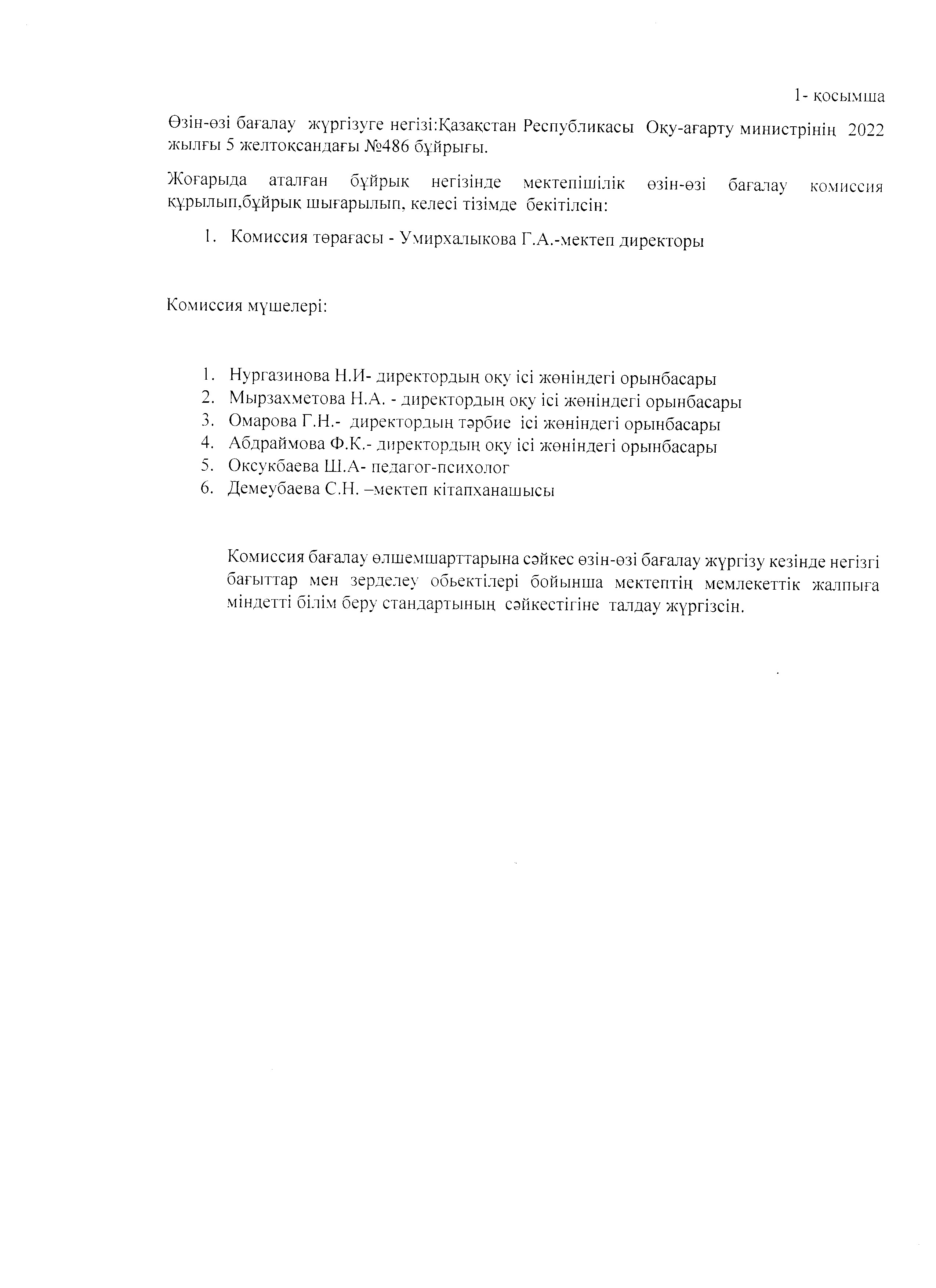
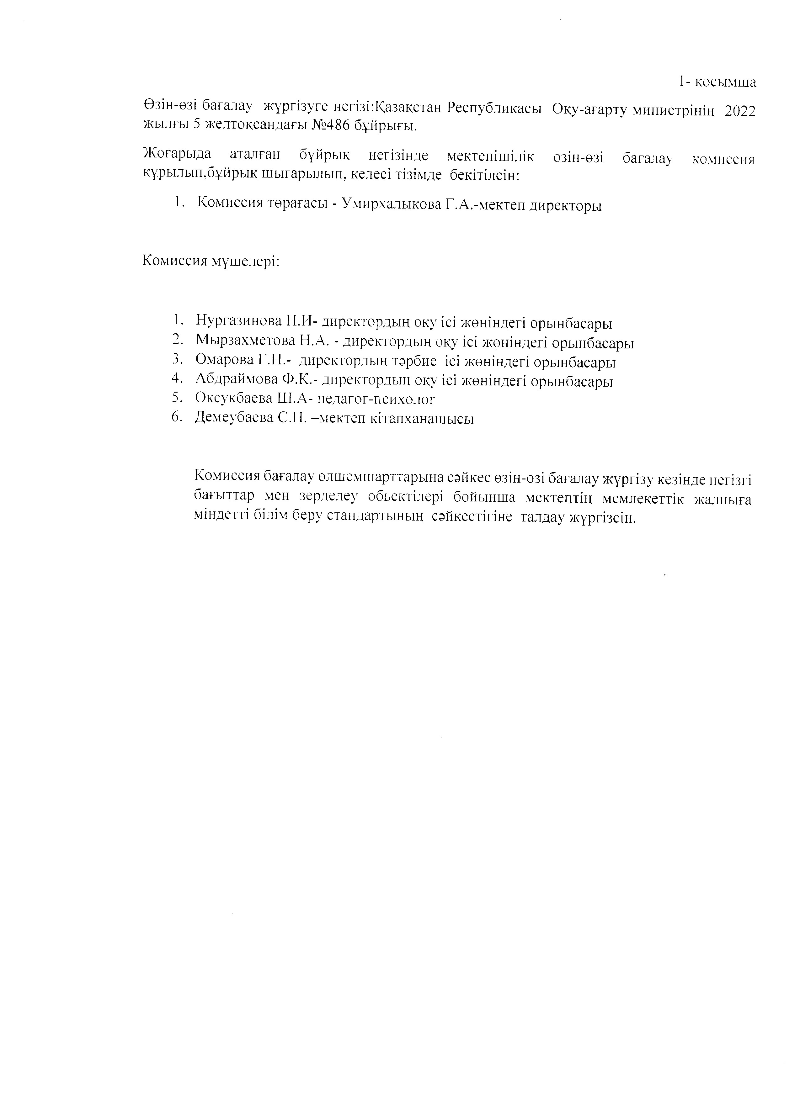
Мектептің өзін-өзі бағалау қорытындысы » Жетісу облысы Көксу ауданы Н.Алдабергенов атындағы орта мектеп
Жетісу облысы
Көксу ауданы білім бөлімінің
"Н.Алдабергенов атындағы орта мектебі"
коммуналдық мемлекеттік мекемесі
Қабылдау бөлімі :
+7(72) 43-50-93
Есепші бөлімі:
+7(72) 23-11-37
Нашар көрушілер
нұсқасы
19
июнь
2025

Мектептің өзін-өзі бағалау қорытындысы






Похожие публикации: